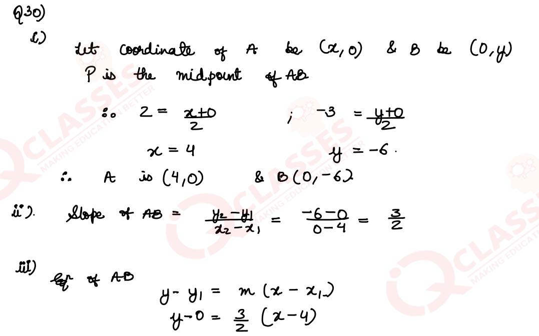
Q30 A and B arc two points on the x-axis and y-axis respectively. P (2, - 3) is the mid point of AB. Find the

(i) the co-ordinates of A and B.
(ii) the slope of the line AB.
(iii) the equation of the line AB.


Solution



,,

Reach Us

SERVICES

  • ACADEMIC
  • ON-LINE PREPARATION
  • FOUNDATION & CRASH COURSES

CONTACT

B-54, Krishna Bhawan, Parag Narain Road, Near Butler Palace Colony Lucknow
Contact:+918081967119