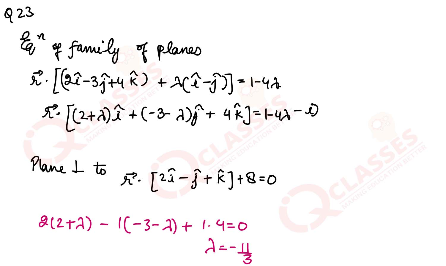
Q23
Find the equation of the plane through the line of intersection of r(2i^-3j^+4k^)=1 and r(i^ - j^) +4=0 and perpendicular to the plane r(2i^ - j^ + k^) +8 =0. Hence, find whether the plane so obtained contains the line x - 1 = 2y - 4 = 3z - 12.


Solution



,

Reach Us

SERVICES

  • ACADEMIC
  • ON-LINE PREPARATION
  • FOUNDATION & CRASH COURSES

CONTACT

B-54, Krishna Bhawan, Parag Narain Road, Near Butler Palace Colony Lucknow
Contact:+918081967119