Q3
Find the value of p for which the following planes are perpendicular to each other :

(i) r→(pi^+2j^+3k^) =5 and r→(i^+2j^-7k^) +11=0

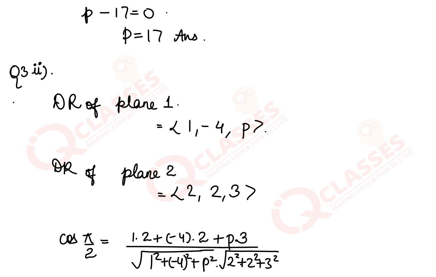
(ii) x-4y+ pz+3=Oand2x+2y+3z=5.


Solution



,,

Reach Us

SERVICES

  • ACADEMIC
  • ON-LINE PREPARATION
  • FOUNDATION & CRASH COURSES

CONTACT

B-54, Krishna Bhawan, Parag Narain Road, Near Butler Palace Colony Lucknow
Contact:+918081967119