Q6
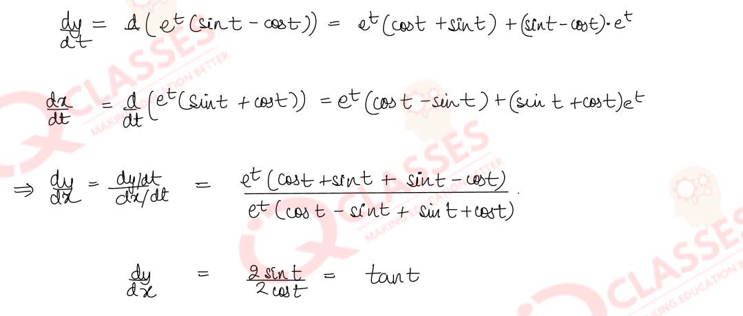
  1. x = et(sin t + cos t), y = et (sin t - cos t)
    Solution
  2. x = a (θ + sin θ), y = a (1 - cos θ)
    Solution
  3. x = a (1 - cos θ), y = a (θ + sin θ)
    Solution
  4. x =
    1+log t / t2
    ,y=
    3+2log t / t
    Solution
  5. x = 3 cos θ -2 cos3θ,y=3sinθ-2 sin3 θ
    Solution


Solution



,,,,,,

Reach Us

SERVICES

  • ACADEMIC
  • ON-LINE PREPARATION
  • FOUNDATION & CRASH COURSES

CONTACT

B-54, Krishna Bhawan, Parag Narain Road, Near Butler Palace Colony Lucknow
Contact:+918081967119