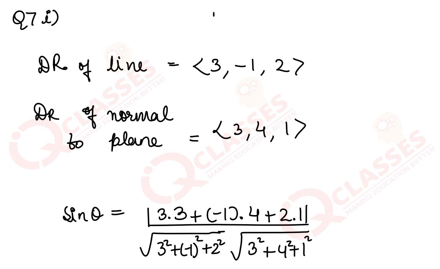
Q7
(i) Find the angle between the line



and the plane 3x+4y+z+5=0.

(ii) Find the angle between the line



and the plane 10x + 2y - 11z =3.


Solution



,,,,

Reach Us

SERVICES

  • ACADEMIC
  • ON-LINE PREPARATION
  • FOUNDATION & CRASH COURSES

CONTACT

B-54, Krishna Bhawan, Parag Narain Road, Near Butler Palace Colony Lucknow
Contact:+918081967119