Q15
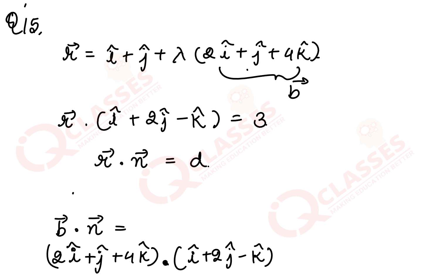
(i) Show that the line r =i^+j^+λ(2i^ +j^ +4k^) lies in the plane r(i^ +2j^-k^) =3.

(ii) If the line
x-2 / 3
=
y-1 / -5
=
z+2 / 2
lies in the plane x + 3y — αz + β = 0, then find the values of α and β.

(iii) Show that the line r =(2i^- 2j^+3k^)+λ(i^-j^+4k^) is parallel to the plane r(i^+5j^+k^) =7.


Solution



,,,,,,

Reach Us

SERVICES

  • ACADEMIC
  • ON-LINE PREPARATION
  • FOUNDATION & CRASH COURSES

CONTACT

B-54, Krishna Bhawan, Parag Narain Road, Near Butler Palace Colony Lucknow
Contact:+918081967119