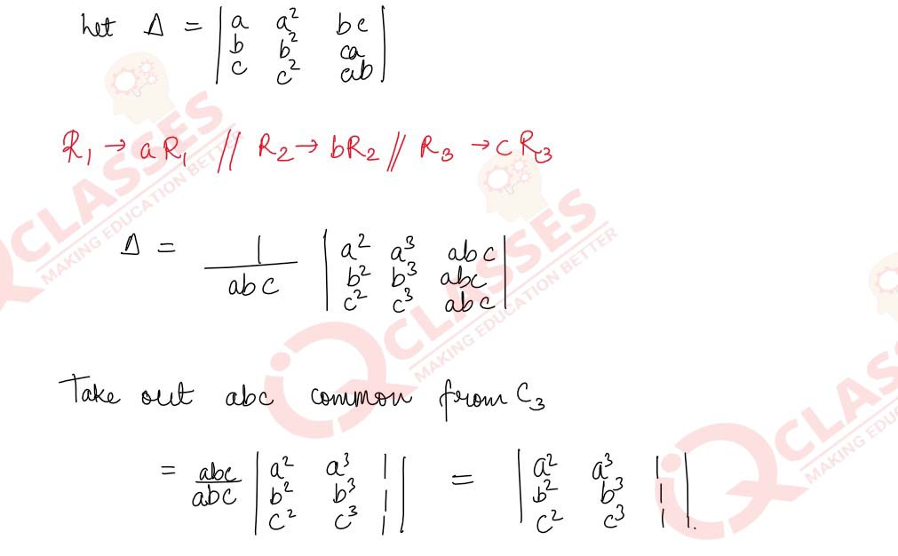
Q10(ii) Without expanding ,prove that
a a2 bc
b b2 ca
c c2 ab
=
1 a2 a3
1 b2 b3
1 c2 c3


Solution




Reach Us

SERVICES

  • ACADEMIC
  • ON-LINE PREPARATION
  • FOUNDATION & CRASH COURSES

CONTACT

B-54, Krishna Bhawan, Parag Narain Road, Near Butler Palace Colony Lucknow
Contact:+918081967119