Follow Us:
Parag Narain Road, Lucknow
+918081967119
Home
Specimen
2025-2024 »
Class 10th ICSE
2023-2024 »
Class 10th ICSE
Class 10th CBSE
Class 12th ISC
Class 12th CBSE
2022-2023 »
Class 10th ICSE
Class 10th CBSE
Class 12th ISC
Class 12th CBSE
2021-2022 »
Class 10th ICSE »
Term-1
Term-2
Class 10th CBSE »
Term-1
Term-2
Class 12th ISC »
Term-1
Term-2
Class 12th CBSE »
Term-1
Term-2
Study Material
Class 9th ICSE
Class 10th ICSE
Class 11th ISC
Class 12th ISC
Class 9th CBSE
Class 10th CBSE
Class 11th CBSE
Class 12th CBSE
Sample Papers
Courses
Physics
Chemistry
Maths
Computer
Biology
Click Here
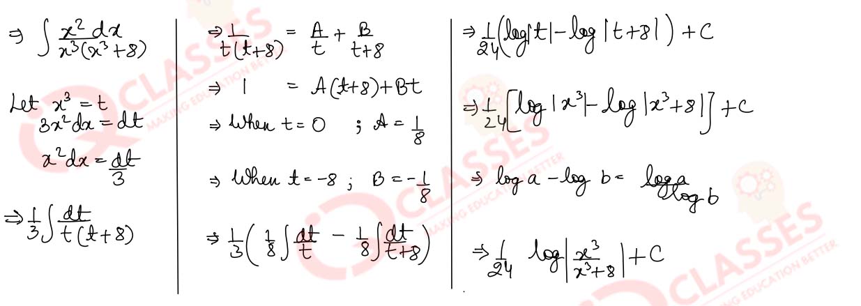
Q13(ii)
∫
dx
/
x(x
3
+8)
Solution
Reach Us
SERVICES
ACADEMIC
ON-LINE PREPARATION
FOUNDATION & CRASH COURSES
CONTACT
B-54, Krishna Bhawan, Parag Narain Road, Near Butler Palace Colony Lucknow
Contact:+918081967119
Email:info@iqclasses.in
For Inquiries
Contact
Us
First Name
Phone Number
Email Id
Register
Login
Enter the Name
Enter Email ID
Get OTP!
Submit
Enter Your Email ID
Submit