Class 12 CBSE Physics Moving Charges and Magnetism Board Questions
Here we provide Class 12 Physics important notes,board questions and predicted questions with Answers for chapter Moving Charges and Magnetism. These important notes,board questions and predicted questions are based on CBSE board curriculum and correspond to the most recent Class 12 Physics syllabus. By practising these Class 12 materials, students will be able to quickly review all of the ideas covered in the chapter and prepare for the Class 12 Board examinations as well as other entrance exams such as NEET and JEE.
class 12 CBSE Physics Moving Charges and Magnetism BoardQuestions
Moving Charges and Magnetism BoardQuestions
2017
Q1
Find the condition under which the charged particles moving with different speed in the presence of
electric and magnetic field vectors can be used to select charge particles of a particular speed.
Solutions
Solutions
Q2
(a) State Biot - Savart law and express this law in the vector form.
(b) 2 identical circular coils, P and Q each of radius R carrying current 1 A, √3 A respectively are placed concentrically and perpendicular to each other lying in the XY and YZ planes, find the magnitude and direction of the net magnetic field at the centre of the coils.
Solutions
(b) 2 identical circular coils, P and Q each of radius R carrying current 1 A, √3 A respectively are placed concentrically and perpendicular to each other lying in the XY and YZ planes, find the magnitude and direction of the net magnetic field at the centre of the coils.
Solutions
2018
Q1
A proton and an electron travelling along parallel paths enter region of uniform magnetic field
acting perpendicular to their paths. Which of them will move in a circular path with higher
frequency ?
Solutions
Solutions
2019
Q1
(a) Derive the expression for the torque acting on a current carrying loop placed in a magnetic
field.
(b) Explain the significance of a radial magnetic field when current carrying coil is kept in it.
Solutions
(b) Explain the significance of a radial magnetic field when current carrying coil is kept in it.
Solutions
Q2
Square loop of side ‘a’ carrying a current I2 is kept at a distance x from an infinitely
long
straight wire carrying a current I1 as shown in the figure obtain the expression for the
resultant
force acting on the loop.
Solutions
Solutions
Q3
An α-particle and a proton of the same kinetic energy are in turn allowed to pass through a magnetic
field 𝐵⃗ acting normal to the direction of motion of particles. Calculate the region of radii of
the circular paths described by them.
Solutions
Solutions
2020
Q1
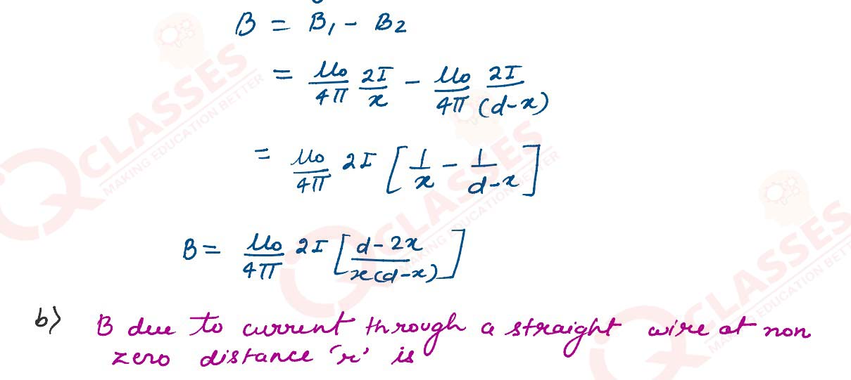
Two Long straight parallel wires A and B separated by a distance d, carry equal current I flowing in
same direction as shown in the figure.
(a) Find the magnetic field at a point P situated between them at a distance x from one wire
(b) Show graphically the variation of the magnetic field with distance x for 0 < x < d
Solutions
(a) Find the magnetic field at a point P situated between them at a distance x from one wire
(b) Show graphically the variation of the magnetic field with distance x for 0 < x < d
Solutions
Q2
(a) Write an expression of magnetic moment associated with a current (I) carrying circular coil of
radius r having N turns.
(b) Consider the above mentioned coil placed in YZ plane with its centre at the origin. Derive expression for the value of magnetic field due to it at point (x, 0, 0).
Solutions
(b) Consider the above mentioned coil placed in YZ plane with its centre at the origin. Derive expression for the value of magnetic field due to it at point (x, 0, 0).
Solutions
Q3
(a) Define current sensitivity of a galvanometer. Write its expression. (b) A galvanometer has
resistance G and shows full scale deflection for current Ig.
(i) How can it be converted into an ammeter to measure current up to Io (Io > Ig) ? (ii) What is the effective resistance of this ammeter ?
Solutions
(i) How can it be converted into an ammeter to measure current up to Io (Io > Ig) ? (ii) What is the effective resistance of this ammeter ?
Solutions
Add a comment