Class 12 ISC Maths Determinants Important Questions
Here we provide Class 12 Maths important questions,board questions and predicted questions with Answers for chapter Determinants. These important notes,board questions and predicted questions are based on ISC board curriculum and correspond to the most recent Class 12 Maths syllabus. By practising these Class 12 materials, students will be able to quickly review all of the ideas covered in the chapter and prepare for the Class 12 Board examinations.
Q1
Evaluate
solutions
solutions
Q2
There are 2 values of X which make determinant
= 86. Find the sum of these
numbers
solutions
= 86. Find the sum of these
numbers
solutions
Q3
If X is real number then show that
lies
between 2 and 4 (both inclusive)
solutions
lies
between 2 and 4 (both inclusive)
solutions
Q4
Find the cofactor of the elements of the 3rd row of the determinant
and verify that
a11A11 + a22A22 + a33A33 = 0
solutions
and verify that
a11A11 + a22A22 + a33A33 = 0
solutions
Q5
Write value of
solutions
solutions
Q6
Without expanding show that,
solutions
solutions
Q7
Without expanding show that,
solutions
solutions
Q8
By using properties of determinant prove that determinant
is independent of x
solutions
is independent of x
solutions
Q9
If a, b. c are in AP then prove that
solutions
solutions
Q10
Prove that
solutions
solutions
Q11
Using properties of determinant, prove that
solutions
solutions
Q12
Using properties of determinant, prove that
solutions
solutions
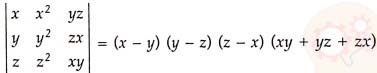
Q13
Using properties of determinant, prove that
solutions
solutions
Q14
Using properties of determinant, prove that
solutions
solutions
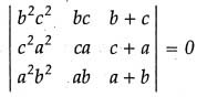
Q15
Using properties of determinant, prove that
solutions
solutions
Q16
Using properties of determinant, prove that
solutions
solutions
Reach Us
SERVICES
- ACADEMIC
- ON-LINE PREPARATION
- FOUNDATION & CRASH COURSES
CONTACT
B-54, Krishna Bhawan, Parag Narain Road,
Near Butler Palace Colony Lucknow
Contact:+918081967119
Add a comment